|
|
|
| 《寧夏普通高校招生考試和錄取工作實施方案》政策解讀 |
| http://m.k7200.com 2025年1月23日 來源:寧夏教育考試院 |
|
近日,自治區教育廳發布了《寧夏普通高校招生考試和錄取工作實施方案》(以下簡稱《考試和錄取方案》)。為幫助大家全面學習、系統了解和準確把握主要內容,現就有關問題解讀如下:
一、關于制定方案的背景和目的
1.制定《考試和錄取方案》背景和目的是什么?
寧夏為第五批高考綜合改革省份,根據《國務院關于深化考試招生制度改革的實施意見》(國發〔2014〕35號)《國務院辦公廳關于新時代推進普通高中育人方式改革的指導意見》(國辦發〔2019〕29號)和《自治區人民政府關于印發〈寧夏深化普通高等學校考試招生綜合改革實施方案〉的通知》(寧政規發〔2022〕3號)精神以及教育部有關規定,寧夏從2022年秋季入學的高中一年級學生開始,實施普通高等學校考試招生綜合改革。到2025年基本建立分類考試、綜合評價、多元錄取的普通高等學校考試招生制度,健全促進公平、科學選才、監督有力的普通高等學校考試招生體制機制,實現學生成長、國家選才和社會公平的有機統一。自2025年起,普通高校按照新的考試招生模式錄取新生。寧夏在充分借鑒第三、四批改革省份經驗做法的基礎上,按照有利于促進學生健康發展、有利于高校科學選拔人才、有利于維護社會公平的原則,結合寧夏實際,制定了《考試和錄取方案》。
二、關于考試與成績
2.考試模式和科目是什么?
自2025年起,普通高校招生考試(以下簡稱普通高考)實行“3+1+2”模式,考試科目由普通高等學校招生全國統一考試(以下簡稱全國統考)科目和普通高中學業水平選擇性考試(以下簡稱選擇性考試)科目組成,“3”為全國統考科目,即語文、數學、外語(英語、俄語、日語、法語、德語、西班牙語任選一門),其中外語含聽力;“1”為選擇性考試首選科目,考生從歷史和物理中選擇1門;“2”為選擇性考試再選科目,考生從思想政治、地理、化學、生物學中選擇2門。全國統考科目由教育部統一命題,選擇性考試科目由寧夏自主命題。
在“3+1+2”的模式下組織考試招生,共有12種組合,增加了學生的選擇權,而且促進了文理交融,充分體現了以人為本、學其所好、考其所長,更加符合教育發展規律和人才成長規律,為學生成長成才提供更多機會。
3.考生報考科類有哪些變化?
自2025年起,普通高考分為普通類、藝術類、體育類。考生報考科類不分文、理科,而是按選擇性考試首選科目,分成首選歷史和首選物理2個大類組合。
4.全國統考數學科目有哪些變化?
自2025年起,全國統考數學科目由以往分文科數學和理科數學,變為不分文理科、不分歷史物理組合,對所有考生使用同一套試題、同一張試卷考試。
5.考試時間如何安排?
考試時間一般安排在6月7日至9日。語文考試時長為150分鐘,數學和外語(含聽力)考試時長為120分鐘(外語聽力考試安排在外語筆試考試開始前進行),選擇性考試科目考試時長均為75分鐘,具體安排如下:

全國統考科目考試時間及安排以教育部公告為準,如有調整,選擇性考試科目的考試安排相應調整。
報考藝術類、體育類等專業的考生,還須參加全區統一組織的相應專業考試;報考有外語口試要求專業的考生,還須參加全區統一組織的英語口語測試;報考體育單招、強基計劃等特殊類型招生的考生,還須參加全國或招生院校組織的專業考試(具體安排另行通知)。
6.考試成績是如何構成的?
考試成績分為高考文化課成績、藝術類專業省級統考成績和體育類專業術科測試成績。
(1)高考文化課成績
高考文化課成績由3門全國統考科目成績和3門選擇性考試科目成績組成,滿分750分,其中全國統考科目每門滿分150分、選擇性考試科目每門滿分100分。語文、數學、外語、歷史、物理科目以原始成績計入考生高考文化課成績;思想政治、地理、化學、生物學科目按等級轉換分數計入考生高考文化課成績。政策性加分按照有關規定在投檔時計入考生高考文化課成績。
(2)藝術類專業省級統考成績和體育類專業術科測試成績
藝術類專業省級統考成績按照《自治區招生工作委員會辦公室關于印發〈寧夏回族自治區進一步加強和改進普通高等學校藝術類專業考試招生工作實施方案(試行)〉的通知》(寧招委辦〔2023〕4號)執行。
體育類專業術科測試成績由100米跑、800米跑、立定跳遠、原地推鉛球四項成績組成,共100分,每個項目25分。
(3)藝術類和體育類綜合成績
藝術類各類別綜合成績計算公式如下:
音樂類、舞蹈類、表(導)演類、美術與設計類、書法類綜合成績=高考文化課成績×50%+省級統考成績×2.5×50%(保留兩位小數)。
播音與主持類綜合成績=高考文化課成績×70%+省級統考成績×2.5×30%(保留兩位小數)。
體育類綜合成績計算公式如下:
體育類綜合成績=高考文化課成績×40%+體育術科成績×7.5×60%(保留兩位小數)。
7.為什么再選科目(思想政治、地理、化學、生物學)考試成績要實行等級賦分后計入考生高考文化課成績?
2025年改革落地后,普通高考招生錄取按照歷史、物理兩個類別分列招生計劃、分別劃線、分別投檔錄取。選擇歷史(或物理)的考生將使用同一歷史(或物理)試卷、考試群體相同,成績具有可比性,因此使用原始成績計入考生高考文化課成績。但由于再選科目思想政治、地理、化學、生物學試題難度差異和報考相應科目的考生群體不同,選考科目的原始成績不具有可比性。
例如:考生甲選考思想政治,考生乙選考化學,兩人都考了80分,考生甲的成績,排在全區所有選考思想政治考生的第100位,考生乙的成績,排在全區所有選考化學考生的第1000位。若簡單地將他們的成績以原始成績計入考生高考文化課成績,既不科學也不公平。因此,需要將再選科目的原始成績,按照一定規則轉換成等級分數,轉換后考生再選科目成績的排序保持不變,解決了再選科目原始成績不具有可比性的問題。
8.等級賦分的規則是什么?
思想政治、地理、化學、生物學4門科目每科原始成績滿分為100分,等級賦分以30分作為賦分起點,滿分為100分。轉換時將考生原始成績從高到低劃分為A、B、C、D、E共5個等級,各等級人數所占比例分別約為15%、35%、35%、13%和2%。將A至E等級內的考生原始分,按照確定比例,依照轉換公式,分別轉換到100——86、85——71、70——56、55——41、40——30五個分數區間(具體見下表),四舍五入取整后得到考生的等級分。經過轉換,考生在相應科目群體中的位次不會下降。每科計算等級轉換的考生人數即轉換基數,具體為實際參加該科目考試并取得有效成績的人數。

等級轉換公式:

其中:Y1、Y2分別表示某等級原始分區間的下限和上限;Y表示某等級內某考生的原始分;
T1、T2分別表示相應等級賦分區間的下限和上限;T表示相應等級內某考生的等級分。
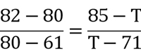
舉例說明:假設某考生思想政治科目合格性考試成績達到合格,選擇性考試科目原始分為80分。第一步,將該科目選擇性考試原始分從高到低進行排序,按照規定的等級比例將該考生劃定為B等級,該科目B等級的原始分分布區間為82——61;第二步,根據分數轉換參數設置,將B等級內的該考生原始分,依照等比例轉換法則,轉換到85——71分數段。原始分所在區間的下限Y1為61分,上限Y2為82分。相應等級賦分區間的下限T1為71分,上限T2為85分。那么該生的等級分為:

解得,T≈ 84(四舍五入取整),即該考生思想政治科目等級分為84分。
9.等級賦分的優點是什么?
等級賦分的優點主要體現在四個方面。一是能夠較好解決思想政治、地理、化學、生物學4門科目之間分數不等值、學生選考科目分數不能直接相加參加高校招生錄取的問題;二是等級區間比例依據我區往屆考生的實際狀況劃定,符合實際情況;三是經過轉換,考生在相應科目群體中的位次不會下降,確保成績轉換的公平公正;四是能夠最大限度保證考生的成績具有良好的區分度,滿足高校人才選拔需要。
三、關于計劃編制和劃線辦法
10.招生計劃如何編制?
自2025年起,普通高考招生計劃按照歷史、物理科目組合分別編制,分本科、高職(專科)兩個層次和普通類、藝術類、體育類三個類別。自2027年起,藝術類招生計劃不再分歷史、物理科目組合,統一按藝術類編制。
招生院校根據經濟社會發展的需要和對人才的需求,結合自身辦學條件、培養要求和畢業生就業等情況,按照教育部和寧夏有關要求,以院校專業組模式編制招生計劃。院校專業組是志愿填報和投檔的基本單位,招生院校可以設置一個或多個院校專業組,每個院校專業組內可包含一個或多個專業(或專業類,簡稱專業,下同)。
選考科目要求相同的專業,可以編制在同一個院校專業組內,也可以分別編制在不同的院校專業組內;選考科目要求不同的專業,分別編制在不同的院校專業組內;計劃性質不同的專業(如公費師范生、優師專項、農村訂單定向培養免費醫學生等),分別編制在不同的院校專業組內;計劃類別不同的專業(如國家專項、地方專項、預科、民族班等),分別編制在不同的院校專業組內;對身體條件、外語語種等有特殊要求的專業,應編制在不同的院校專業組內;辦學地點、辦學類型、收費標準差異較大的專業,應編制在不同的院校專業組內;藝術類專業分音樂教育(聲樂)、音樂教育(器樂)、音樂表演(聲樂)、音樂表演(器樂)、舞蹈類、戲劇影視表演、服裝表演、戲劇影視導演、播音與主持類、美術與設計類、書法類等11個專業方向,分別編制在相應的院校專業組內;其他需要單獨設置院校專業組的招生類型應編制在相應的院校專業組內。
11.各類別錄取控制分數線是如何劃定的?
(1)普通類。普通類本科、高職(專科)錄取控制分數線按照首選歷史、物理科目組合的招生計劃和考生高考文化課成績,分別劃定。特殊類型錄取控制分數線依據有關規定,按照首選歷史、物理科目組合分別劃定,用于強基計劃、高校專項計劃等特殊類型招生。高水平運動隊錄取控制分數線按照教育部有關文件執行。民航飛行技術專業錄取控制分數線按照教育部等部門有關文件執行。
(2)藝術類。根據藝術類考生高考文化課成績、藝術類專業省級統考成績和相應層次招生計劃,分別劃定文化課錄取控制分數線和藝術類專業省級統考合格線,其中藝術類本科、高職(專科)文化課成績錄取控制分數線以普通類本科、高職(專科)錄取控制分數線為基數,按有關規定的比例分別劃定。藝術類專業校考、戲曲類省際聯考錄取控制分數線,以相關高校要求和有關規定執行。
(3)體育類。根據體育類考生高考文化課成績、體育類專業術科測試成績和相應層次招生計劃,分別劃定文化課錄取控制分數線和體育類專業術科測試合格線。
12.什么是特殊類型錄取控制分數線?
特殊類型錄取控制分數線是為滿足強基計劃、高校專項計劃等特殊類型招生單獨劃定的錄取控制分數線。改革前這些特殊類型招生參照“一本線”執行,而改革后不再劃定“一本線”,因此需要單獨劃定特殊類型錄取控制分數線。
四、關于志愿設置和填報
13.錄取批次和志愿如何設置?
設本科提前批(A、B段)、本科批(A、B段)、高職(專科)提前批(A、B、C段)和高職(專科)批等4個批次。
每個批次根據投檔模式和招生院校數量不同,分別設置1—45個院校專業組志愿,每個院校專業組志愿設6個專業志愿和“是否服從專業調劑”選項。
強基計劃、少年班、保送生、體育單招、消防救援單獨招生、殘障考生單獨招生、職教師資單獨招生等特殊類型招生不填報志愿,按照相關規定錄取。
具體情況如下:

普通類、藝術類、體育類同批次同段不得兼報。即在同一批次同一段,填報藝術類或體育類專業志愿的考生不得兼報普通類專業志愿,填報普通類專業志愿的考生不得兼報藝術類或體育類專業志愿,填報藝術類和體育類專業志愿的考生互相不得兼報。
批次投檔錄取順序為:本科提前批A段、本科提前批B段、高職(專科)提前批A段、本科批A段、本科批B段、高職(專科)提前批B段、高職(專科)提前批C段、高職(專科)批。
14.如何理解“院校專業組”志愿模式?
“院校專業組”指的是某一高校對考生選考科目要求相同的專業的組合。一所高校可設置1個或多個院校專業組,每個院校專業組內可包含數量不等的專業。同一院校專業組內各專業對考生的選考科目要求相同,選考科目要求不同的專業必須分別設置院校專業組。當然,同一院校選考科目要求相同的專業也可分設在不同的院校專業組中。
例如:“A大學專業組4”選考科目要求首選科目為物理,再選科目不限,包括通信工程等若干專業;“A大學專業組5”選考科目要求首選科目為物理,再選科目為化學或生物學,包括臨床醫學等若干專業。如考生擬報考A大學通信工程和臨床醫學兩個專業,則要占用兩個志愿位置,需同時填報“A大學專業組4”和“A大學專業組5”兩個院校專業組志愿,并分別在兩個院校專業組中填報通信工程、臨床醫學專業志愿。
15.為什么不再區分一本、二本?
《國務院關于深化考試招生制度改革的實施意見》明確提出要“創造條件逐步取消高校招生錄取批次”。合并本科批次,體現了國家改革的總體方向,能夠更好滿足高校、考生及社會發展需要。
從高校的角度考慮。有利于更好地發揮高校辦學主體作用,激勵高校注重內涵發展,發揮自身優勢,專注特色專業人才培養,進而提升高校辦學水平和核心競爭力。
從考生的角度考慮。有利于進一步增加考生選擇范圍,引導考生結合個人志向、學科興趣、個性特長,更理性地選擇自己比較心儀的學校和專業,促進考生健康成才成長。
從高中的角度考慮。有利于高中學校破除盲目追求“一本升學率”,促進高中學校更好地立足校情,明確定位,創建校本特色。
從社會的角度考慮。有利于扭轉簡單用錄取批次評價不同類型高校的片面導向,有利于促進高校畢業生平等就業,推動高等教育公平發展。
16.志愿設置、填報與改革前有什么不同?
一是志愿單位的變化。改革前以“院校”為志愿填報單位,1所院校即為1個志愿,按“1所院校+多個專業”的方式進行志愿填報,在院校內選擇專業志愿和是否服從專業調劑。改革后以“院校專業組”為志愿填報單位,1個院校專業組即為1個志愿,按院校專業組的方式進行志愿填報,在“院校專業組”內選擇專業志愿和是否服從專業調劑。
二是平行志愿數量的變化。將本科提前批B段、高職(專科)提前批B段、高職(專科)提前批C段填報志愿數增加至20個,將本科批B段、高職(專科)批填報志愿數增加至45個。
三是填報要求的變化。改革前,考生按照自己所報考的科類(理工類、文史類)填報相應的院校志愿。改革后,在填報志愿時,由于增加了院校選考科目要求,考生須按照院校專業組對應的選考科目要求填報。
17.本科提前批為什么要分成A段和B段?
本科提前批A段,用于填報本科提前批有體檢、報考資格等要求的,或志愿填報結束后需參加相應的政治考核(考察)、面試、體檢(軍檢)、體能測評(考試)等院校或專業志愿,包括普通類軍事、司法、消防、招收飛行員、航海類、農村訂單定向培養免費醫學生、綜合評價、香港高校、北京電子科技學院和其他經教育部批準的須在提前批招生院校等志愿;藝術類經批準的校考專業志愿和戲曲類省際聯考專業志愿。設1個院校專業組志愿,采用順序志愿投檔模式。
本科提前批B段,用于填報本科提前批無體檢、報考資格等要求的,或志愿填報開始前已安排政治考核、體檢、體能測評等院校或專業志愿,包括普通類公安、公費師范生、優師專項、小語種專業、全國重點馬克思主義學院的馬克思主義理論專業和其他經教育部批準的須在提前批招生院校等志愿;藝術類使用省級藝術專業統考成績錄取的專業志愿;體育類專業志愿。設20個院校專業組志愿,采用平行志愿投檔模式。
本科提前批區分A段和B段填報志愿,可增加志愿填報的機會和志愿的數量,同時可以滿足考生的個性需求,進一步提高志愿滿意度,減輕志愿填報壓力,降低志愿填報風險。
18.國家專項計劃、地方專項計劃、民族班、預科班和定向招生等為何一并納入本科批B段批次實行平行志愿?
國家專項計劃、地方專項計劃、民族班、預科班和定向招生一并納入本科批B段批次實行平行志愿,考生可以根據成績更為合理填報志愿,對考生填報志愿時更友好,進一步降低滑檔風險。考生可結合自身實際選擇合適的順序填報以上各類志愿,增加錄取機會。
19.志愿填報時,考生選考科目如何對應高校選考要求?
高校依據教育部有關要求,提出本校招生專業(類)的選考科目要求,考生應對照高校招生專業(類)的選考科目要求,精準報考。
一是考生的首選科目須符合高校對首選科目的要求。選考物理的考生只能填報物理科目組合下的院校和專業,選考歷史的考生只能填報歷史科目組合下的院校和專業。
二是再選科目要求。高校對再選科目的要求分為四種:
(1)不提再選科目要求的,符合首選科目要求的考生均可報考;
(2)提出1門再選科目要求的,考生必須選考該科目方可報考。如某校某專業對化學科目提出要求,符合首選科目要求且選考化學的考生才能報考;
(3)提出2門再選科目要求且均須選考的,考生須同時選考這2門科目方可報考。如某校某專業對化學和生物學科目提出要求,符合首選科目要求且同時選考化學和生物學科目的考生才能報考;
(4)提出2門再選科目要求但只需選考其中1門的,考生選考該2門科目中的任意1門即可報考。如某校某專業要求考生選考化學或生物學科目,符合首選科目要求且只要選考科目中有化學或生物學科目的考生即可報考。
考生可通過寧夏教育考試院網站發布的《2025年擬在寧招生普通高等學校選考科目要求》,查詢各在寧招生高校專業選考科目要求。
20.考生填報志愿時,應參考哪些資料?
考生應依據本人考試成績、位次及個人興趣愛好、當年的招生計劃和各院校的招生章程合理填報志愿,可參考寧夏教育考試院編印的《寧夏普通高等學校填報志愿指南》(招生計劃)、《招生簡訊》(往年錄取數據)、考試成績一分段表和各招生院校網站公布的往年招生錄取信息等資料。
21.考生填報志愿時應注意哪些事項?
考生填報志愿前,應充分了解高校招生章程、具體專業要求和寧夏相關規定等。
普通類、藝術類、體育類同批次同段不得兼報。考生填報志愿必須符合所填報高校招生計劃類別及專業(類)的選考科目要求。歷史科目組合編制的招生專業,僅限首選科目為歷史的考生填報;物理科目組合編制的招生專業,僅限首選科目為物理的考生填報;再選科目填報要求以招生計劃公布的科目要求為準。填報軍事、公安、司法等專業志愿的考生還需參加相應的政治考核(考察)、面試、體檢(軍檢)、體能測評(考試)等,合格后才具備投檔資格。填報藝術類、體育類專業志愿的考生高考文化課成績和專業統考成績均應達到相應的錄取控制分數線和合格線。填報國家專項計劃、地方專項計劃、高校專項計劃、農村訂單定向培養免費醫學生的考生須具備相應的報考資格。填報高校專項計劃、綜合評價、高水平運動隊等專業志愿的考生需經過相應測試選拔程序和資格公示。少數民族預科、民族班只有符合條件的少數民族考生可以填報。其他要求有特殊資格條件的,以公布的招生計劃為準。
因填報志愿不符合相關要求未被投檔或未被錄取的,責任由考生本人承擔。錄取過程中,申請自愿放棄本科某一批次錄取的考生不再參與本科其他批次志愿(包括征集志愿)的錄取;自愿放棄高職(專科)某一批次錄取的考生,不再參與高職(專科)其他批次志愿(包括征集志愿)的錄取。
22.強基計劃、高校專項計劃等類型招生,如何投檔?
強基計劃、少年班、保送生、體育單招、消防救援單獨招生、殘障考生單獨招生、職教師資單獨招生等特殊類型招生,在所有批次錄取前,按有關規定提前錄取、不再參加后續高考志愿的投檔錄取。
高校專項計劃、綜合評價、高水平運動隊、藝術類專業校考、戲曲類省際聯考等不分省計劃招生,投檔時按院校要求將填報了志愿且符合條件的考生檔案全部提供給院校,由院校根據公布的錄取規則進行錄取。所有高考加分項目及分值,均不得用于高校不安排分省招生計劃的藝術類專業、高水平運動隊、高校專項計劃等招生項目。
23.志愿填報截止后還可以補填志愿嗎?
填報志愿時間嚴格按照公布的時間執行。每一輪次填報志愿截止時間一到,志愿填報系統將自動關閉,不再補填志愿。因此,考生應合理安排填報時間,盡量避免在臨近截止時間前填報。
五、關于投檔錄取
24.投檔錄取規則有什么變化?
自2025年起,寧夏普通高校招生依據全國統考科目和選擇性考試科目成績,參考高中階段綜合素質評價,并按照招生院校《招生章程》擇優錄取考生。普通類、藝術類、體育類按照首選歷史、物理科目組合,分別投檔錄取。普通類考生以高考文化課成績(含政策性加分)進行排序確定投檔位次,藝術類考生(不含藝術類專業校考、戲曲類省際聯考等不分省計劃)以藝術類綜合成績進行排序確定投檔位次,體育類考生以體育類綜合成績進行排序確定投檔位次。
與改革前相比,主要變化為:
(1)由投檔到院校變為投檔到院校專業組。
(2)專業調劑范圍不同。專業服從調劑志愿改革前是指可在同一招生院校(分文、理科)內的專業間進行調劑,自2025年起,只能在同一個院校專業組內的專業間進行專業調劑。
25.如何理解院校專業組順序志愿、平行志愿投檔規則?
寧夏普通高等學校招生投檔模式分為順序志愿和平行志愿兩種。
(1)順序志愿。堅持“志愿優先,遵循分數”的原則,即投檔時,優先按照考生志愿順序,再依據考生成績排位,綜合高校招生計劃數和調檔比例進行投檔。調檔比例原則上控制在120%以內。
(2)平行志愿。堅持“分數優先、遵循志愿”的原則,即投檔時,優先按照考生成績排位,再依據考生志愿順序,綜合高校招生計劃數和調檔比例進行投檔。調檔比例原則上控制在105%以內。
26.平行志愿投檔基本流程是什么?
平行志愿投檔基本流程為:排序→檢索→投檔。
(1)排序:對同一類別、同一批次考生分別從高分到低分排序。
(2)檢索:先對投檔排序位次在前的考生所填報的志愿進行檢索,先檢索考生所填報的第1個院校專業組,如果這個院校專業組此時還有空余計劃,則可以投進這個院校專業組;如果第1個院校專業組沒有空余計劃,再檢索考生的第2個院校專業組是否有空余計劃,依次類推。一旦考生符合某一志愿的投檔條件時,后續志愿將不再檢索;如沒有出現符合投檔條件的院校專業組,則不能投檔。該生檢索結束后,系統會自動檢索下一位次投檔排序考生所填報的志愿,直到本批次所有考生都完成檢索。舉例說明:小張和小李的首選科目都是歷史,小張651分,小李650分,小張排在小李的前面一位。投檔時,系統先瀏覽小張的志愿,等小張的檔案去向明確后,再瀏覽小李的志愿。
(3)投檔:將所有檢索后符合投檔條件(在高校專業計劃數內)的考生電子檔案投給高校。
上述過程完成后,無論檔案是否投出,均視為該考生已享受了本批次平行志愿投檔機會。如果考生檔案投檔到某院校專業組后,因故被退出,將不再補投到該批次平行志愿的其他院校專業組。已經錄取的考生不再參加后續志愿投檔錄取。
27.平行志愿投檔時,考生高考成績相同時如何排序?
(1)普通類。考生高考文化課成績相同時排序規則:依次按語文數學兩科成績之和、語文或數學單科最高成績、外語單科成績、首選科目單科成績、再選科目單科最高成績、再選科目單科次高成績由高到低排序,達到院校調檔線、單項成績均相同的考生同時投檔。
(2)藝術類。考生綜合成績相同時,先比較藝術類專業省級統考成績,再比較高考文化課成績,若還相同再按普通類同分排序規則依次比較,由高到低排序。
(3)體育類。在考生綜合成績相同時,先比較體育類專業術科測試成績,再比較高考文化課成績,若還相同再按普通類同分排序規則依次比較,由高到低排序。
28.高校錄取時,普通高中學生綜合素質評價檔案如何使用?
自2025年起,普通高校錄取時,將普通高中學生綜合素質評價檔案提供給高校,作為高校招生錄取的重要參考,具體使用辦法由高校在招生章程中向社會公布。
29.錄取時考生檔案投檔后被退檔的主要原因有哪些?
高校招生除了對選考科目提出要求外,在招生章程或專業備注中,還可能對體檢、外語語種、單科成績等提出要求,考生檔案被投檔到某高校,若不符合該高校招生要求,則可能會造成退檔。因此,考生在填報志愿前要認真查看高校招生章程、選考科目要求等,防止因誤填報而被退檔。
30.考生如何了解和適應新高考?
為讓考生盡早熟悉新高考的考試、志愿填報方式,讓高校了解錄取各環節工作,及時發現考試實施過程中可能存在的問題,確保寧夏高考改革平穩落地,寧夏與第五批高考綜合改革省份同步開展一次面向參加寧夏2025年高考全體考生的高考綜合改革適應性演練。高考綜合改革適應性演練嚴格按照高考規范全流程組織考試、評卷、成績公布、計劃編報、志愿填報和投檔錄取模擬演練。其中,語文、數學、外語3門科目由教育部考試院命題;歷史、物理、思想政治、地理、化學、生物學6門選擇性考試科目由寧夏自主命題。考生和家長要把適應性演練當作一次難得的練兵機會,但不能將適應性測試和錄取的結果與正式高考考試、錄取的結果掛鉤。 |
關于寧夏高考更多的相關文章請點擊查看  |
|
| 特別說明:由于各方面情況的不斷調整與變化,華禹教育網(m.k7200.com)所提供的信息為非商業性的教育和科研之目的,并不意味著贊同其觀點或證實其內容的真實性,僅供參考,相關信息敬請以權威部門公布的正式信息為準。 |
|
|
|
| |